计算机图形学笔记一
来自b栈- GAMES101-现代计算机图形学入门-闫令琪
前置知识









判断方向=》右手螺旋定则,a叉乘b ,四指方向就是a->b,大拇指方向就是a叉乘b的方向。


判断内外?
AB叉乘AP是向外的,p在ab的左侧
BC叉乘BP也是向外的,p在bc的左侧
CA叉乘cp也是向外的,p在ca的左侧
那么p在三角形的内部

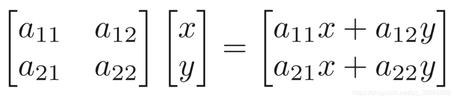
1 2D线性变换
我们将如下图所示的简单矩阵乘法定义为对向量( x , y ) ^T^ 的线性变换。

1.1 缩放(scaling)


1.2 反射

1.3 剪切(shearing)
shear变换直观理解就是把物体一边固定,然后拉另外一边,定义如下:


1.4 旋转(rotation)

推导过程:

1.5 平移


先应用线性变化,再平移
因为平移变化不能表示成线性变化的形式,但是人们又想方便,于是引入了齐次坐标。
通过增加一个数1,用来达到平移的效果。

在齐次坐标的表示下
用齐次坐标就可以把所有的变化写成统一的形式,代价就是引入了一个额外的数字
1.6逆变换

1.7合成变化





计算机图形学笔记一
http://example.com/2021/03/28/计算机图形学笔记一/